File:Q2d.png
From Elliptic Curve Crypto
Size of this preview: 799 × 195 pixels. Other resolution: 1,180 × 288 pixels.
Original file (1,180 × 288 pixels, file size: 40 KB, MIME type: image/png)
Summary
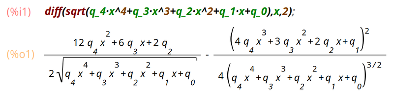
2nd derivative calculated on wxMaxima
File history
Click on a date/time to view the file as it appeared at that time.
| Date/Time | Thumbnail | Dimensions | User | Comment | |
|---|---|---|---|---|---|
| current | 18:32, 12 January 2025 | 1,180 × 288 (40 KB) | Rational Point (talk | contribs) | 2nd derivative calculated on wxMaxima |
You cannot overwrite this file.
File usage
There are no pages that use this file.
